Contents
Tổng quan củ phát điện Mecc Alte series ECO38, ECO40
- Củ phát điện Mecc Alte là dòng ECO38, ECO40 không chổi than 4 cực tự điều chỉnh.
- Chúng được trang bị một cuộn cảm quay (1) có lồng giảm chấn và phần ứng cố định có rãnh nghiêng.
- Cuộn dây có bước ngắn để giảm sóng hài.
- Các thử nghiệm về khả năng tương thích điện từ được thực hiện tuân thủ các thông số kỹ thuật tiêu chuẩn, với dây trung tính được nối đất.
- Việc thử nghiệm theo các thông số kỹ thuật khác có thể được thực hiện theo yêu cầu của khách hàng.
- Cấu trúc cơ khí luôn rất chắc chắn, cho phép dễ dàng tiếp cận các kết nối và kiểm tra các bộ phận khác nhau.
- Vỏ làm bằng thép, các tấm chắn làm bằng gang, trục làm bằng thép C45 có gắn một quạt gắn trên trục.
- Xếp hạng bảo vệ là IP23 (có thể đạt được xếp hạng bảo vệ cao hơn theo yêu cầu).
- Cách nhiệt tiêu chuẩn là lớp H.
- Việc ngâm tẩm được thực hiện bằng nhựa polyester cho các bộ phận quay và xử lý chân không cho các bộ phận có điện áp cao hơn chẳng hạn như stato.
- Các phương pháp điều trị đặc biệt cũng có thể được thực hiện theo yêu cầu.
Các thành phần chính của đầu phát Mecc Alte

| Cấu tạo đầu phát Mecc Alte | |
| 1. Cuộn cảm quay | 7. Chân cố định |
| 2. Quạt làm mát | 8. Lưới bảo vệ |
| 3. Rôto chính | 9. Bìa trước |
| 4. Rotor kích thích | 10. Trục |
| 5. Hộp đấu nối AVR | 11. PMG |
| 6. Khung Stator | |
Điều chỉnh kỹ thuật số DSR
- Bộ điều chỉnh điện tử có thể có 2 loại: DSR, DSR/A, nguồn cung cấp tiêu chuẩn đi kèm với DSR trên dòng ECO38.
- DSR/A có thể được gắn trên dòng 40 theo yêu cầu của khách hàng.
- Bộ điều chỉnh thường được lắp đặt trong hộp AVR máy phát điện.
Điều chỉnh kỹ thuật số DER1
- Bộ điều chỉnh điện tử có thể có 2 loại: DER1, DER1/A.
- Nguồn cung cấp tiêu chuẩn đi kèm với DER1 trên dòng 40.
- DER1/A có thể được gắn trên dòng ECO38 theo yêu cầu của khách hàng.
- Bộ điều chỉnh thường được lắp đặt trong hộp AVR của củ phát điện.
Mô tả chung và nguyên lý làm việc
- Động cơ truyền động được nối với mặt bích và đĩa (1) của củ phát điện.
- Rôto máy phát điện, khởi động bằng động cơ truyền động, tạo ra điện.
- Cáp cấp nguồn điện cho người dùng được kết nối trên khối đầu cuối bên trong “hộp đầu cuối” (2).
Bộ điều chỉnh kỹ thuật số DSR/DER1 được trang bị đèn LED. Trong quá trình hoạt động bình thường, đèn LED nhấp nháy với khoảng thời gian 2 giây và chu kỳ hoạt động 50% (1 giây bật, 1 giây tắt), trong trường hợp có lỗi, nó sẽ nhấp nháy khác nhau.
Dữ liệu kỹ thuật
IP bảo vệ
Củ phát điện được xây dựng với mức bảo vệ IP23.
Tải trọng xuyên tâm
Tải trọng hướng tâm tối đa cho phép tác dụng lên đường giữa của hình chiếu trục, đối với máy phát điện xoay chiều ổ trục kép.
| Series | Radial force [N] |
| ECO38 | 16000 |
| ECO40 | 16000 |
Độ ồn (đB/(A))
| Series | 50Hz | 60Hz | ||
| 1m | 7m | 1m | 7m | |
| ECO38 | 82 | 69 | 86 | 73 |
| ECO40 | 94 | 82 | 98 | 88 |
Khối lượng (kg)

Lưu lượng khí nạp [m³/phút] đối với củ phát điện cục bộ
| Series | 50Hz | 60Hz |
| ECO38 | 32 | 39 |
| ECO40 | 54 | 64.8 |
Dung sai căn chỉnh trong B3B14
Bảng dung sai căn chỉnh động cơ dẫn động với củ phát điện.

Kích thước định vị trong MD35
Kích thước định vị cho bánh đà được tính theo mặt bích.

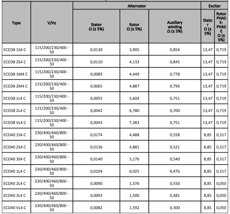
Điện trở của cuộn dây ở nhiệt độ môi trường 20°C

Vật liệu sản xuất
Bảng dưới đây chứa tỷ lệ phần trăm gần đúng của vật liệu được sử dụng trong củ phát điện xoay chiều của Mecc Alte S.p.A.
Yêu cầu về môi trường vận hành
- Nhiệt độ môi trường tối đa để đảm bảo công suất định mức: 40°C
- Độ cao hoạt động tối đa đảm bảo công suất danh định: <1000m

